|
|
| home | contact | team t&d | group websites | markets | exports | blog |
![]() |
|

Cable Fault Location On Low, Medium & High Voltage Cable Networks by Baur
Baur cable fault locators, cable sheath testers and cable/phase identification systems cover the entire cable fault location process from pre-location to pinpointing - T&D are Baur Distributors, contact us with your requirements.
In the third of a series of Guest Blogs by Baur we learn in depth all about Time Domain Reflectometry (TDR).
Part 1: Introduction to Cable Fault Location by Baur (Sources, Types & Pre-location Methods)
Part 2: Cable Fault Location by Baur (Connecting Measurement Technology)
Part 3: Cable Fault Location by Baur (TDR Time Domain Reflectometry)

Expressive Reflections
Time domain reflectometry is one of the most frequently used methods for fault location because it provides information about the cable length and joint locations and also helps locate low-resistive faults (such as short-circuits). Time Domain Reflectometry is also called TDR.
Method and Prerequisites
During the time domain reflectometry, a low-voltage impulse is fed at the cable end, which then spreads in the cable. Wherever the resistance deviates from the normal cable resistance, this impulse is reflected and is recorded by the measuring device.
The distance to the point where the reflection took place can be determined by means of the duration (the time difference between the impulse transmission and the reflection registration). The software in any modern measuring device will calculate the distance for you.
The time domain reflectometry can be applied when the fault is between two parallel conductors and between conductor and shielding. The pulse reflection is visible at those points where the resistance between the two conductors changes.
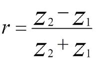
The Reflection Factor
The extent of the reflection is described by the so-called reflection factor. It is calculated according to the formula on the right. Thereby, Z1 is the cable impedance up to the fault and Z2 the impedance at the fault.
The time domain reflectometry or TDR delivers quick information on the cable length, locates short-circuits and cable interruptions and helps determine the position of joints.
Reflection Factor Formula




Detecting Cable End or Cable Interruption
There is positive reflection of the impulse at the end of a cable, as in this case, Z2 is much bigger than Z1. The reflection factor is about 1. If the reflection takes place at a point before the cable end, there is an interruption (see diagram).
Tracing Short-Circuits
Similarly, short-circuits are shown clearly in the reflection image. However, here Z2 is certainly less than Z1, the reflection factor r is therefore negative, the value is about -1.
It is likewise easy to detect an impedance change, as it takes place at the transition from one cable section to the next - i.e. at a joint. In the evaluation logic, the reflection at the joint appears in the form of a horizontal S.
TDR Measurement in Mixed Cable Routes
Cable routes with unknown length or consisting of varying partial sections are an exception. Here, the velocity of propagation can vary in the partial sections. Therefore, it is not possible to calculate the fault location exactly.
However, to determine the fault location with high reliability, you can carry out the measurement from both cable ends. Both measurements produce two different fault locations in mixed cable routes.
The actual fault is located between these two points, approximately in the center. In any case, careful pinpointing of the fault is recommended for mixed cable routes.


Example
The above diagram shows the result of a TDR measurement at an intact (L1) and a defective (L2) conductor (comparison method). A positive reflection forms at the cable end (the rise on the right in the diagram). About 290 m from the feeding point, L2 shows a negative reflection (see green vertical line). Here there is a short-circuit at L2.
Pocket-sized fault location technology
Measuring devices for the time domain reflectometry such as BAUR IRG 2000 are small and handy and hence enable fast cable fault pre-location. They are suitable for cable lengths up to several kilometres and can be operated intuitively.
The measurement and calculation of the distance to the fault are done fully automatic. In addition to being used as a stand-alone device, it can also be integrated in measurement systems (IRG 3000) or a cable test van.
With appropriate accessories, the devices also support the fault location with the Secondar Impulse Method (SIM) or the Multiple Impulse Method (MIM) as well as the Impulse Current Method (ICM).
Pictured: Baur IRG 2000

Thorne & Derrick Specialist Electrical Distributor
Established since 1985, T&D distribute the most extensive range of LV, MV & HV Cable Jointing, Terminating, Fault Location & Installation Equipment - contact us today for a competitive quotation.
Key Products : MV Joints & Terminations, Cable Fault Locators, Cable Cleats, Duct Seals, Cable Transits, Underground Cable Protection, Jointing Tools, Feeder Pillars, Cable Duct, Earthing & Lightning Protection, Electrical Safety, Cable Glands, Arc Flash Protection & Fusegear.
Distributors for : Baur, 3M, Pfisterer, Nexans Euromold, Elastimold, Catu Electrical, Roxtec, Emtelle, Centriforce, Lucy Zodion, Alroc, Hivotec, Cembre, Prysmian, Ellis Patents, ABB & Furse.

Video Tutorial Masterclass - PD Partial Discharge & Electrical Cable Breakdown
Condition Assessment of HV Cables - Guest Blog by EA Technology
"Reducing Failure Rates and Better Management of Underground Cable Networks"
Portable Partial Discharge Diagnostics - Baur PD-TaD 60 PD Diagnostics System
Thorne & Derrick are inviting you to join LinkedIn’s fastest growing Discussion Group : Low & High Voltage Power, Cabling, Jointing, & Hazardous Area Electricals (LV-HV).
Discussion subjects include cable installations, cable jointing, electrical substation, overhead line and electrical construction at LV, 11kV, 33kV and EHV.
Network, engage and promote your profile, company or products with over 10,000 influencers.
![]() | Baur - Cable Fault Locators & Location Specialists (LV MV HV Cables) |
Category: HV Cable Jointing & Terminating